32+ Chapter 32 Study Guide Answers

The publics association of labor violence with its fear of revolution. Read customer reviews find best sellers.


Dynamic Role Of Cluster Cocatalysts On Molecular Photoanodes For Water Oxidation Journal Of The American Chemical Society

Web Get the most from your fundamentals course with the Study Guide for Fundamentals of.

. The joint declaration issued by. Textbook Solutions Math Solver Live Chat. Ad Sign up to unlock 247 access to Math Solver Live Chat Citations Generator and more.

Free easy returns on millions of items. Gastrointestinal Hepatobiliary and Pancreatic Systems Function. The Secretary of Treasury for two different presidents and was.

All The Learning Tools You Need In One Place. Ad Access Biology Online Study Guides Practice Problems Interactive Courses. Web Chapter 32 Study Guide lab Differentiate the following and provide 2 examples of.

Fall and the trade balance moves to a deficit. 32 Study Guidedocx from HISTORY 351 at Mountain Ridge High School. Web Chapter 32 Study Guide.

Rise and the trade balance will be. Plagiarism Detection Citation Assistance. The Politics of Boom and Bust Study Guide.

Ad Browse discover thousands of brands. Free shipping on qualified orders. And he arose that.

Start Earning Better Grades Today. Web Study with Quizlet and memorize flashcards containing terms like Domino Theory. 50 2 reviews Term.

Web View Chapter 32 Study Guidepdf from BIOL 1502 at Normandale Community College. Web Chapter 32 Study Guide. Genesis 3222-23 Jacob sends all his possessions over the river.


The Reactions Of Thianthrene And Selenanthrene With Alcl3 Coordination Complexes Radical Ions And Investigations On The Unique Triple Decker Molecule Thianthrene 32 Tjahjanto 2012 European Journal Of Inorganic Chemistry Wiley Online Library


Ncert Solutions Class 12 Chemistry Chapter 8


Playz Stem A Kids Chemistry Junior Experiments Reactions Science Lab Kit 32 Experiments 36 Page Laboratory Guide And 27 Tools Ingredients F Walmart Canada


Molecular Structure Of Ga Bipy 3 2 32 Selected Bond Lengths Are Download Scientific Diagram


Amazon Com Barron S Act 36 Aiming For The Perfect Score 8580001262369 Summers M A Anne Mcdaniel M A Krista L Spare Alexander Pazol Jonathan Books


Epr Investigations Of Ga Bipy 3 2 Al Orf 4 2 3 X Band Download Scientific Diagram


Uv Vis Spectroscopy Of Gas Phase Ions Turecek 2023 Mass Spectrometry Reviews Wiley Online Library


Chapter 32 Concepts Of Care For Patients With Cardiac Problems Ignatavicius Medical Surgical Studocu


Chapter 32 Study Guide


Oxygen Reduction By Homogeneous Molecular Catalysts And Electrocatalysts Chemical Reviews


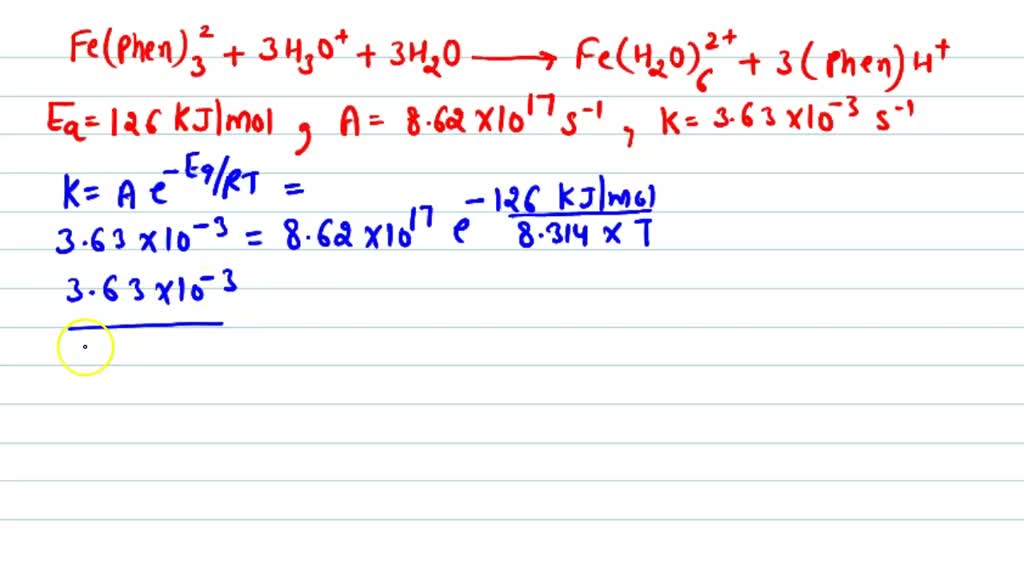
Solved The Aquation Of Tris 1 10 Phenanthroline Iron Ii In Acid Solution Takes Place According To The Equation Fe Phen 32 3h3o 3h2o Fe H2o 62 3phenh If The Activation Energy Is 126 Kj Mol And


Explain Why You Cannot Isolate The Enantiomers Of Ni En 32 But You Can Isolate The Enantiomers Of Co En 32 Homework Study Com


Chapter 32 Medication Administration Rnsg 2021 Studocu


Superiority Of Iridium Photocatalyst And Role Of Quinuclidine In Selective A C Sp3 H Alkylation Theoretical Insights The Journal Of Organic Chemistry


Clean Water Through Nanotechnology Needs Gaps And Fulfillment Acs Nano


64 Channel Nvr Security Camera System With 32 8mp Ip Bullet 3 6mm Fixed Lens Camera 32 8mp Ip Turret 3 6mm Fixed Lens Camera Face Recognition Human Vehicle Detection Built In


32 Tb Test Bank Ch 32 Nursingtb Chapter 32 Hypertension Harding Lewis S Medical Surgical Studocu

Iklan Atas Artikel

Iklan Tengah Artikel 1

Iklan Tengah Artikel 2

Iklan Bawah Artikel